物性物理化学・反応物理化学研究室
1 |界面活性剤,両親媒性高分子,金属ナノ粒子などソフトマターの分子集合体に関する研究
疎水部と親水部の相反する官能基を分子内にもつ界面活性剤は、さまざまな産業分野で用いられています。これら1疎水鎖1親水基型の界面活性剤のさらなる性能の向上および高い機能性の発現を目指して、2疎水鎖2親水基構造のジェミニ型界面活性剤や、樹状高分子であるデンドリマーにアルキル鎖を結合させた両親媒性デンドリマーなど、ユニークな構造をもつ両親媒性化合物を自ら分子設計・合成し、電気伝導度や表面張力などの物理化学的性質を調べています。また、これらの両親媒性化合物の水溶液中における分子集合体を動的光散乱や透過型電子顕微鏡を用いて調べ、SPring-8に設置のX線小角散乱、日本原子力研究開発機構やJ-PARCに設置の中性子小角散乱などの大型装置を使用して、集合体のナノ構造を詳しく解析しています。さらに、両親媒性化合物を保護剤として金属ナノ粒子を調製し、還元反応やラジカル消去反応などにおける触媒活性に関する研究も行っています。
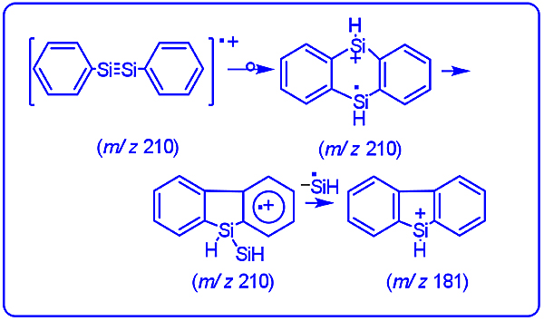
2 |質量分析における化学反応理論の研究と文化財保全環境モニターシステムへの応用
気相イオンの単分子反応、イオンと分子の二分子反応およびイオンと固体表面の反応のメカニズムを質量分析と量子化学理論により研究しています。リン酸化ペプチドや糖ペプチド等の生体活性物質や有機ケイ素分子等の機能性物質の反応を、分子レベルで解明することにより、イオン反応を予測する理論の構築を行っています。この理論は、超高感度の質量分析装置によって未知物質の構造解析をする場合にとても有用な理論です。さらに、マススペクトルのフラグメンテーション反応を応用して、古墳由来の微生物が生成する揮発性代謝物質の分子構造を特定し、そのパターン認識によりカビ種を特定するプログラムを構築しました。これは文化財保全環境をモニターするシステムに応用されます。









